Ocenjivanje
Student stiče pravo da izađe na usmeni deo ispita u onom ispitnom roku u kome prijavi ispit i polaže pismeni deo ispita, ukoliko je
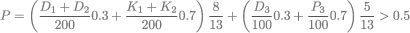
![]()
gde je Di broj poena dobijen na i-tom domaćem zadatku, Ki broj poena dobijen na i-tom kolokvijumu, a P3 broj poena (maksimalno 100) dobijen na delu pismenog ispita koji se odnosi na gradivo koje nije obuhvaćeno kolokvijumima (poslednjih pet nedelja nastave). Konačna ocena dobija se u skladu sa tabelom
| Ocena | broj poena posle usmenog ispita |
|---|---|
| 10 | veći od 90 |
| 9 | između 80 i 90 (uključujući 90) |
| 8 | između 70 i 80 (uključujući 80) |
| 7 | između 60 i 70 (uključujući 70) |
| 6 | između 50 i 60 (uključujući 60) |
gde se ukupni broj poena posle usmenog dela ispita računa po formuli: (100 x P + 10 x ocena na usmenom)/2, pri čemu ocena na usmenom mora biti veća od 5. Bodovi dobijeni u prolećnom semestru školske 2008/09 godine važiće do početka prolećnog semestra školske 2009/10, tj. zaključno sa januarskim ispitnim rokom 2010. godine.
Ukoliko nije zadovoljan ukupnim brojem bodova dobijenim na domaćim zadacima i kolokvijumima, student može da zahteva da mu se ti bodovi ne računaju. U tom slučaju radi sve zadatke na pismenom delu ispita i ukoliko dobije više od 50% poena, stiče pravo da izađe na usmeni deo ispita – konačna ocena se u tom slučaju formira na osnovu broja bodova sa pismenog i znanja pokazanog na usmenom ispitu (kao srednja ocena).